维纳滤波器概述_模型的建立_优缺点-维库电子通
维纳滤波器(Wiener filter)是数学家维纳(Rorbert Wiener)在二十世纪四十年代提出的一种滤波器,它一种以最小平方为准则的线性滤波器。在一定的约束条件下,其输出与一给定函数(通常称为期望输出)的差的平方达到最小,通过数学运算最终可变为一个托布利兹方程的求解问题。维纳滤波器又被称为最小二乘滤波器或最小平方滤波器,目前是基本的滤波方法之一。
20世纪40年代,维纳奠定了关于滤波器研究的基础。即假定线性滤波器的输入为有用信号和噪声之和,两者均为广义平稳过程且知它们的二阶统计特性,维纳根据最小均方误差准则(滤波器的输出信号与需要信号之差的均方值最小),求得了线性滤波器的参数,这种滤波器被称为维纳滤波器。在维纳研究的基础上,人们还根据输出信噪比准则、统计检测准则以及其他准则求得的线性滤波器。实际上,在一定条件下,这些滤波器与维纳滤波器是等价的。因而,讨论线性滤波器时,一般均以维纳滤波器作为参考。
信号波形从被噪声污染中恢复称为滤波。这是信号处理中经常采用的主要方法之一,具有十分重要的应用价值。常用的滤波器是采用电感、电容等分立元件构成,如RC低通滤波器、LC谐振回路等。但对于混在随机信号中的噪声滤波,这些简单的电路就不是滤波器,这是因为信号与噪声均可能具有连续的功率谱。不管滤波器具有什么样的频率响应,均不可能做到噪声完全滤掉,信号波形的不失真。因此,需要寻找一种使误差最小的最滤波方法,又称为滤波准则。
从噪声中提取引号波形的各种估计方法中,维纳(Wiener)滤波是一种最基本的方法,适用于需要从噪声中分离出的有用信号是整个信号(波形),而不只是它的几个参量。其基本依据就是最小均方误差准则。
设维纳滤波器的输入为含噪声的随机信号。期望输出与实际输出之间的差值为误差,对该误差求均方,即为均方误差。因此均方误差越小,噪声滤除效果就越好。为使均方误差最小,关键在于求冲激响应。如果能够满足维纳-霍夫方程,就可使维纳滤波器达到。根据维纳-霍夫方程,维纳滤波器的冲激响应,完全由输入自相关函数以及输入与期望输出的互相关函数所决定。
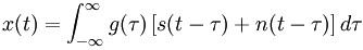
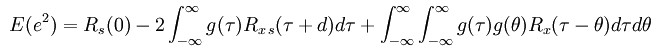
假设维纳滤波器的输入信号是 s(t),叠加噪声 n(t)。输出信号 x(t) 通过滤波器 g(τ) 使用下面的卷积运算得到:
如果信号s(t) 和噪声n(t) 是不相关的(例如,互相关是0)那么请注意
维纳滤波器的优点是适应面较广,无论平稳随机过程是连续的还是离散的,是标量的还是向量的,都可应用。对某些问题,还可求出滤波器传递函数的显式解,并进而采用由简单的物理元件组成的网络构成维纳滤波器。
维纳滤波器的缺点是要求得到半无限时间区间内的全部观察数据的条件很难满足,同时它也不能用于噪声为非平稳的随机过程的情况,对于向量情况应用也不方便。因此,维纳滤波在实际问题中应用不多。
根据其他准则的滤波器亦有同样要求。然而,由于输入过程取决于外界的信号、干扰环境,这种环境的统计特性常常是未知的、变化的,因而难以满足上述两个要求。这就促使人们研究自适应滤波器。


